- 雷达液位计料位计系列产品
- 压力/液位/差压/密度变送器
- 液位仪表系列
- 流量仪表系列
- 物位仪表系列
- 液位/温度/压力/流量-报警仪
- PLC/DCS自动化控制监控系统
- GPRS无线远传装置
- 有纸/无纸记录仪系列
- 温度仪表系列
- 分析仪|检测仪|校验仪系列
电话:86 0517-86917118
传真:86 0517-86899586
销售经理:1560-1403-222 (丁经理)
139-1518-1149 (袁经理)
业务QQ:2942808253 / 762657048
网址:https://www.harzkj.com
汽包差压液位变送器产生测量误差的原因分析及安装要求
差压液位变送器在监控锅炉汽包液位中通常采用单室平衡容器和双室平衡容器两种安装方式, 通过比较这两种平衡容器的结构及原理, 结合实际生产经验, 阐述了在电站锅炉汽包液位测量中应使用单室平衡容器的原因。同时为了得到准确的实际液位值, 强调了在汽包液位测量中要结合密度补偿的方法。
0、引言:
火电项目中, 锅炉汽包液位是全厂非常重要的控制参数, 液位过高会导致蒸汽带水进入过热器, 并在过热管内结垢影响传热效率;液位过低又将破坏部分水冷壁的水循环引起水冷壁局部过热而爆管。设计上, 通常采用差压式液位计和导波雷达液位计相结合来采集汽包液位远传信号。在开车调试及正常生产过程中, 经常发现差压液位变送器数据不准确, 检查取压管也没发现堵塞的现象。对于导致差压液位变送器不准的原因, 该文从测量原理和安装方式上分析和探讨差压变送器误读数的原因, 给出合理化的安装建议。
1、液位计误差的根本原因:
由于水物理性质的复杂性, 锅炉汽包里水的密度是随着温度和汽包顶部蒸汽压力的变化而不断变化的。

图1 汽包水位单室平衡容器测量系统原理图
以图1为例, 假设差压变送器的安装位置是在下管嘴附近, 那么上管嘴引出来的这根引压管, 其竖直向下的竖管L里, 水的温度应该只是环境温度。则竖直引压管里水的密度, 应该会比汽包里水的密度更大。如果正常工况下锅炉里水的密度是800 kg·m-3, 并且假设差压变送器设置2 m高度时液位为****输出, 则2 m高度800 kg·m-3的锅炉水产生的差压为P=800×2×9.8, 但由于竖直引压管暴露在环境中, 因此水温接近环境温度, 则水的密度为1000 kg·m-3, 那么, 当实际水位达到0.8×2=1.6 m时, 差压变送器已经输出20 m A。所以从分析得出, 引压管内介质温度、压力的变化是导致测得液位总是偏高的原因。
2、安装要求:
差压式液位计的工作原理是在汽包水位取样管上安装平衡容器, 利用液体静力学原理使水位转换成差压, 用引压管将差压信号送至差压计, 由差压计显示汽包液位。现在常见的平衡容器有单室平衡容器、双室平衡容器和带蒸汽罩补偿式平衡容器。中华人民共和国化工行业标准HG/T 21581—2010中使用单室平衡容器和双室平衡容器两种安装方式。
2.1、单室平衡容器原理:
单室平衡容器结构简单, 如图1所示, 平衡容器水平管接汽包汽侧取样孔, 底部垂直管接差压液位变送器正压端;由汽包水侧取样孔引出的水平取样管一端接差压变送器负压端, 一端与汽包水侧连通。运行中蒸汽不断进入平衡容器并被冷却, 容器内液位高度保持恒定, 多余凝结水经连通管回到汽包。
2.2、双室平衡容器原理:
双室平衡容器原理如图2所示。

图2 双室平衡容器原理
蒸汽在双室平衡容器里冷凝, 释放出潜热, 使得双室平衡容器里的温度始终跟锅炉汽包相差无几, 这样不但使得基准杯始终满盈, 也使得基准杯下面这根竖直向下的引压管管内水的温度和密度, 和锅炉内水的温度密度非常接近。双室平衡容器底部有一根不保温的管子接到锅炉底部的下降管, 平衡容器内的冷凝水由此不断回流到锅炉内。
2.3、电站锅炉汽包水位安装要求:
电力公司在2001年的第795号文发布的《电站锅炉汽包水位测量系统配置、安装和使用若干规定》中对差压式水位测量装置的安装有如下规定:
1) 差压式水位测量装置的平衡容器应为单室平衡容器, 即直径约100 mm的球体或球头圆柱体 (容积为300~800 ml) , 容器前汽水侧取样管可有连通管。
2) 安装汽水侧取样管时, 应保证管道的倾斜度不小于100∶1, 对于汽侧取样管应使取样孔侧低, 对于水侧取样管应使取样孔侧高 (见图1) 。
3) 汽水侧取样管、取样阀门和连通管均应良好保温。平衡容器及容器下部形成参比水柱的管道不得保温。引到差压变送器的两根管道应平行敷设共同保温, 并根据需要采取防冻措施。
电力公司在组织对国内电站锅炉汽包水位测量和水位保护运行调研后, 明确汽包液位安装使用单室平衡容器, 分析原因主要是由于双室平衡容器是保温的, 容器内又不断的有蒸汽冷凝释放出潜热, 这就导致基准杯和基准杯下面的那根竖直的取压管里面的水温度较高, 非常接近即将汽化的温度。当锅炉的蒸汽负荷加大时, 蒸汽被抽走, 锅炉内的压力下降, 基准杯和竖直取压管内的水, 有可能沸腾, 变成蒸汽, 这就给取压测量带来明显的误差。
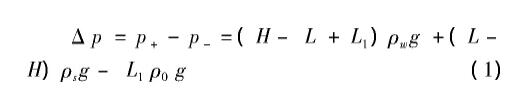
3、液位测量的密度补偿:
通过上述对汽包液位产生误差的原因分析及电力公司具体的安装要求, 解决传统汽包液位测量偏差应主要通过对汽包液位进行密度补偿来达到。目前成熟的DCS系统组态过程中, 利用折线表, 在不同的饱和水密度和饱和蒸汽密度对应不同压力条件下, 对压力进行自动补偿。

式中:H为汽包液位, L为平衡容器的测量量程, L1为平衡容器负压管接口至水侧取压管的距离, ρ0为变送器引压管内的冷凝水密度, ρw为汽包内饱和水密度, ρs为汽包内饱和蒸汽的密度, g为常数。
可以看出, 平衡容器内转换的压差不仅与H有关, 还与ρ0, ρw和ρs有关。汽包内压力的变化, 会引起饱和水和饱和蒸汽密度的变化从而产生测量误差。
根据《饱和水和饱和蒸汽的热力学基本参数表》, DCS组态中利用多段折线函数模块, 拟合不同压力下饱和水和饱和蒸汽的密度变化曲线, 代入式 (1) 中, 就能很好地实现平衡容器转换的差压Δp与水位H的单位函数关系, 从而准确地测量汽包液位。
在锅炉汽包水位测量中使用***多的是差压式液位计测量方式,尽管很多单位选用了高精度的差压变送器(单晶硅差压变送器,精度***高可以达到0.075级),但由于种种原因,在实际运行中其测量误差常常较大,有时甚至误差会达到20%-30%,所以往往造成操作人员的误判,从而导致操作失误,严重影响锅炉的安全稳定运行。因此,找出汽包水位测量误差产生的原因并尽量克服,具有重要的实际意义。
1、汽包水位差压式液位计工作原理
差压式液位计是将液位高低信号转换成相应差压信号来实现液位测量的仪器。它是由平衡容器(又称液位-差压转换容器)、压力信号导压管及差压变送器三部分组成的。液位信号*先由平衡容器转换成差压信号,然后差压变送器测出差压值的大小,并将液位信号转换成电流信号,远传至控制室进行连续液位指示、记录,并为水位三冲量调节系统提供液位信号。差压变送器准确测量汽包水位的关键在于液位与差压之间的准确转换,这种转换是通过平衡容器来实现的。
图1 差压式水位计与平衡容器
图1所示为一种简单的单室平衡容器,汽包的上连通管与单室平衡容器相接,容器的底部连接一导压管(简称“正压管”);汽包的下连通管直接与负压管相接。由于汽包的饱和蒸汽在单室平衡容器内不断地散热凝结,容器内液面总是保持恒定,所以正压管内水柱高度维持不变,而负压管内水柱高度则随汽包H变化而变化。因此,由正、负导压管得到的差压信号为:
△P=P+ - P-=Lρ1g -[Hρ′g+(L-H)ρ″g]=L(ρ1-ρ″)g-H(ρ′-ρ″)g
公式中,H为汽包水位高度;ρ1为平衡容器中水的密度;ρ′为汽包饱和水密度、ρ″为汽包内饱和蒸汽的密度;L为汽包上、下连通管间距离。由公式可知,平衡容器结构确定后(即L为已知常数),在汽包压力维持恒定(ρ′、ρ″确定)以及ρ1一定的条件下,正、负导压管的差压输出△P与汽包水位H呈单值函数关系。因此,若P+、P-接差压变送器,就可根据所测出的差压数值知道相应的液位值。
2、差压式液位计测量误差分析
由前面的公式可以看出,要想保持△p与H成单值线性关系,必须使ρ′、ρ″和ρ1为恒定值。但是汽包工作压力变化以及环境温度变化都会使ρ′、ρ″和ρ1产生变化,因而导致测量误差。由此可见,密度变化是汽包水位测量产生误差的主要原因,因此必须了解其变化规律,并采取相应的措施。饱和水及饱和蒸汽的状态只取决于压力(或温度),当压力(或温度)波动时,汽包内饱和水及饱和蒸汽的密度也相应发生变化。当汽包压力升高时,饱和水密度ρ′减小,饱和蒸汽密度ρ″增大。当上升到临界压力时,饱和水和饱和蒸汽的密度相同。由公式可知,汽包工作压力变化时,主要是负压头[Hρ′g+(L-H)ρ″g]的变化使差压△P发生改变。而ρ′与ρ″随压力变化的方向相反,因此负压头中的两项变化可互相抵偿。但因ρ′与ρ″的变化率不同,所以这两项变化不能完全抵消,而且在液位H不同时,这两项随压力变化的数值也不相同。
3、差压式液位计误差产生的原因及消除方法
本文以单室平衡容器安装为例来分析产生误差的原因,主要包括以下3种:安装不规范或错误安装、维护不及时或误操作、工艺系统或工况改变。
3.1 安装不规范或错误安装
3.1.1 测压点取的位置不合适一般来说测压点不会搞错。主要是上部单室平衡容器的进口必须与汽包上连通管在同一水平上,要严格按设计图纸来安装。安装时还要注意测压点是否有不洁物,如有要及时清理干净,防止安装后堵塞。
3.1.2 导压管路安装不规范
安装导压管路的主要目的是传递压力,不规范安装会造成正、负压侧产生附加误差,从而产生测量误差。
①导压管路太短或太长。
根据一般技术规定,导压管路应在3-50m之间,太短时测量波动大,太长则测量滞后;且在测量时应保证水平管线有1∶12的坡度,保证管道内充满液体,以免产生测量误差。消除方法是按照技术规定和设计来施工。
②导压管路正、负侧装反。
从测压点扯过导压管往差压变送器上装时正、负侧装错,等投用后出现问题还不容易查出原因,因为这点极易被忽视。导压管与差压变送器的连接请参阅《锅炉水位平衡容器气相管应连接差压变送器的高压室还是低压室》技术文章。
③受热不均匀或离热源太近。
平衡容器及连接管安装后,水侧连通管应加保温。但为使平衡容器内蒸汽凝结加快,汽侧连通管与平衡容器上部都不应加保温。
3.1.3 差压变送器安装不规范
差压变送器安装环境太差,如震动大、尘土大或者有强腐蚀介质。消除办法就是按照有关技术规定选择合适的位置来安装差压变送器,若属特殊情况必须在此环境中安装,则应按照现场实际情况采取防护措施,如增加防护箱或固定支架等。
3.2 维护不及时或误操作
为了保证汽包水位计的长周期稳定运行,进行各种计量,就要求相关人员平时精心维护仪器。否则由于维护不及时或误操作,都会引起测量误差的产生。
3.2.1 导压管三阀组堵或漏消除方法
按时巡检,发现问题要及时处理,漏则用工具紧固,堵则排污清洗,用手压泵或其他工具疏通,保证压力的正常传递。
3.2.2 冷凝液由于误操作流失消除方法
工作压力较低的平衡容器(如凝汽器、除氧器等)安装时,可在平衡容器顶部加装水源管或灌水丝堵,以保证平衡容器内有充足的凝结水,并能较快地投入差压式液位计。
3.2.3 差压变送器的飘零消除方法
要定期校验变送器的零点和量程。
3.3 工艺系统或工况改变
在高参数机组里,实际运行的参数随时都在发生变化。当压力发生变化时,ρ′、ρ″和ρ1也在发生变化。因此,液位的波动会比较大,从而给液位测量的准确度带来比较大的影响。消除方法:在平衡容器和汽包之间加入一凝结水管,这样可以使平衡容器内的水得到一定的缓冲,压力与密度相对比较稳定,如图2所示。
图2 单室平衡容器与差压变送安装示意图
4、结语:
明确了在今后的电站锅炉建设中差压式液位计的平衡容器应选择单室平衡容器, 将汽包内不同压力下的饱和水密度和饱和蒸汽密度引入DCS系统内, 对差压式液位计进行密度补偿, 就能得出实际的汽包液位, 以避免发生严重的汽包缺水、满水事故。
①对于刚施工投用的液位计,其测量误差产生的原因多是安装不规范或错误安装;
②对于长期使用的液位计,测量误差产生的原因多是维护不及时或误操作;
③对于技改后出现的测量误差,多是系统或者工艺方面的原因。
上一条:雷达液位计*常见的误差是由什么原因造成的
下一条:按照垃圾分类标准 报废的仪器仪表应属于什么垃圾
- 相关文章
-
- 雷达液位计的作用 【2025-11-18】
- 雷达液位计使用注意事项 【2025-11-18】
- 雷达液位计安装注意事项全解析 【2025-11-14】
- 雷达液位计工作原理及相关说明 【2025-11-14】
- 液位传感器与液位开关、液位控制器、液位变送器、液位计的区别 【2020-03-10】
- 润中仪表科技开展“携润中之手,品河鲜美味”的客户回馈活动 【2014-11-26】
- 投入式液位变送器外壳 【2023-12-16】
- 磁致伸缩液位仪变送器型号 【2023-12-18】
- 输送管道内壁的粗糙度不符合要求时对孔板流量计的影响 【2016-05-11】
- 液位变送器参数设置原则 【2024-01-07】








